Potrivit reglementărilor în vigoare s-au luat în calcul trei scenarii: verde (cu risc scăzut sau inexistent, sub un caz nou cu Covid-19, detectat din media ultimelor 14 zile în raport cu mia de locuitori ) – când toți elevii merg la școală; galben (risc mediu, între 1 și 3 cazuri noi cu Covid-19, detectate din media ultimelor 14 zile în raport cu mia de locuitori) – când o parte dintre cursuri se vor desfășura în școli, o parte în mediul online; roșu (când la mai mult de trei cazuri noi cu Covid-19, detectate din media ultimelor 14 zile în raport cu mia de locuitori) când școala se închide și învățământul continuă online. Aceste scenarii se implementează în funcție de situația epidemiologică din fiecare localitate.
Potrivit listei întocmite de CJSU, șapte localități se află în scenariul roșu – se face doar învățământ online, 28 de școli se încadrează în scenariul galben, 10 vor funcționa în scenariu verde-galben iar o școală începe după scenariu galben/roșu.
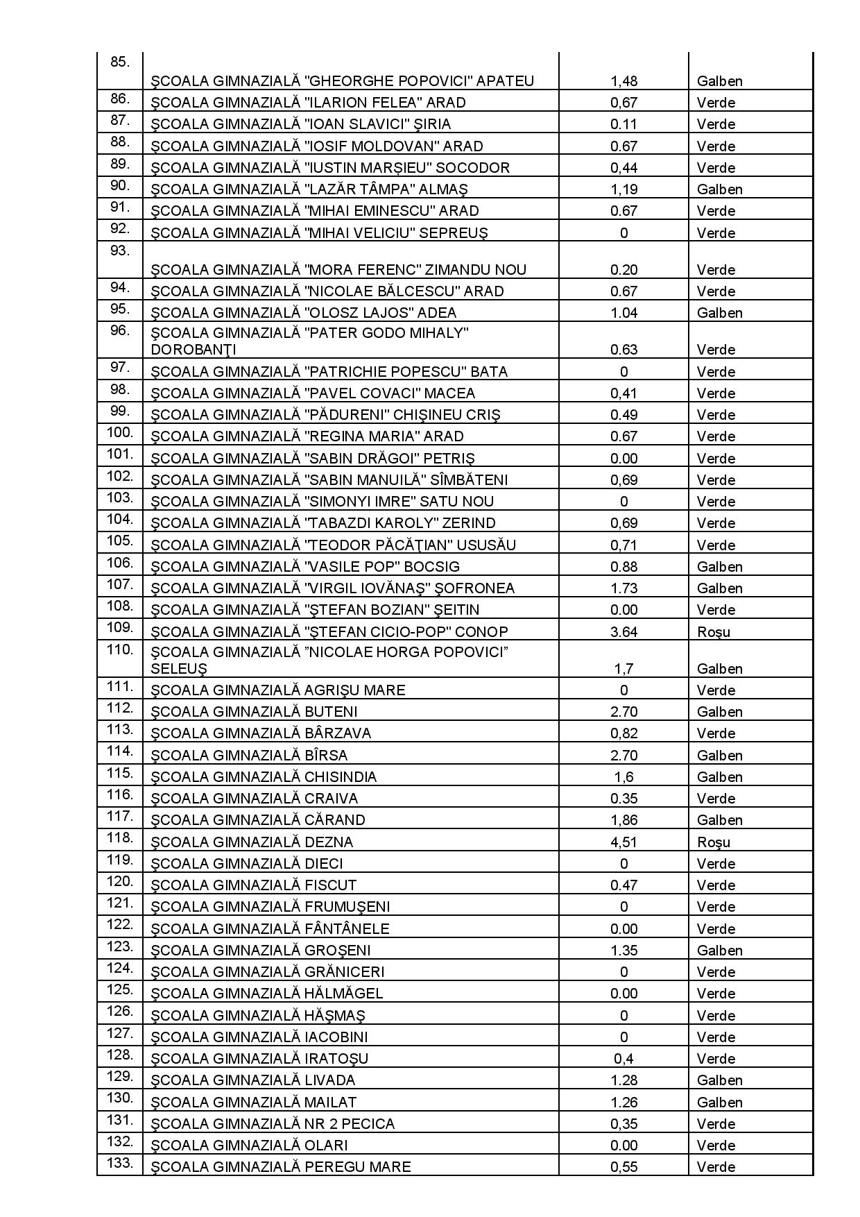
Lista completă a școlilor, cu scenariul care se va aplica din 14 septembrie, poate fi consultată mai jos
Trimite articolul
XNu cred că sunt reale! Cel puțin Colegiul Național Vasile Goldiș, clădirea I.Slavici ,fosta “4” ,am înțeles că se va adopta sistemul hibrid – o săptămână jumate la clasă, jumate online !
Sistarovat verde?..
Deci
Verde. Toti copiii merg la scoala
Galben. Se combina online cu prezenta fizica la scoala. Probabil alterneaza o saptamana online si una fizic la scoala.
Rosu. Doar online.
Scenariu galben verde. ??????
-
O săptămână jumătate din scoala iar o săptămână cealaltă jumătate.
Cea mai idioata tara din lumea asta. Handicapatilor, de ce dracu in Germania copiii merg la scoala si la noi nu se poate, cretinilor. Si cat a mai ramas din scoala, a-ti reusit sa o distrugeti, cretinilor! Mi-e scarba de voi, cu virusii vostrii din cap.
-
De ce nu citești ce scrie în articolul de ziar? Copiii vor merge la școală, doar în acele localități unde sunt probleme se folosesc alte strategii (lucru care se poate schimba în funcție de situația din școli sau localități). Nu mai dați exemple care nu sunt adevărate. În Germania, în prima săptămână au trebuit să fie închise școli, pentru că -inerent – au apărut situașii de infectare. Dar dacă tot ai dat exemplu Germania, de ce nu scrii că acolo poliția amendează pe cei care nu poartă mască (în unele locuri, și landuri, chiar și în spațiu liber). Și la noi așa ar trebui să se facă, și în câteva săptămâni am avea mai puține cazuri….
Doctorii vor face operatii online pe team viewer, consultatii pe skype, tratament pe whatsappi. Pana acum copii nu au avut nici o treaba cu virusul, adica ei erau imuni la virus, dar vad ca la scoala virusul este mai periculos . Romania “normala”. Mie sila de voi. Cine vrea sa isi apere copii ii invit la Bucuresti pe 19 septembrie la protestul organizat de mai multe asociatii pentru FAMILIE.
https://www.facebook.com/photo?fbid=2730488083943995&set=a.1409433182716165
-
Niciodată copiii nu au fost imuni la virus!!! ba mai mult, copiii infectați sunt mai periculoși în a da virusul mai departe, pentru că organimsul lor dezvoltă mai repede anticorpii decât la persoanele adulte.
-
Completare la cele scrise mai devreme: …și uneori fără o simptomatologie evidentă, sau foarte „agresivă”, de aceea sunt mai periculoși (nu pentru ei, ci pentru adulți, mai ales cei mai în vârstă).
-
Si daca dezvolta mai repede antivirusul asta ii face mai periculosi pentru ca… ?????? Nu inteleg. Anticorpii sunt cei care infecteaza?
-
Asta este rezultatul ca nu s-a reusit peste vara echiparea tehnica a scolilor, decat in foarte mica masura pentru scenariul galben. Asa ca, hai, toti la gramada la scoala, si daca apare un caz trecem pe scenariul rosu, toti acasa.
Verde-galben e probabil la scolile unde exista cateva clase echipate.
Intreb si eu, cand am fost tampiti, in primavara cand la 100 de cazuri la nivel national am oprit tot sau acum cand la peste 1000 de cazuri zilnic procedam de parca nu ar fi nimic ?
Cand ati inventat si scenariul Verde-galben? Asa o sa avem si Rosu-galben
In 2 saptamani (adica dupa alegeri) toti vor trece in scenariul rosu si se va face scoala online (adica zero barat). In aceste 2 saptamani nu se asigura copiilor nici o protectie. Numarul cazurilor va exploda. Fara cuvinte.
Pai si daca un copil din Taut(rosu) merge la liceu la Coleciul Economic (verde). acolo cum e? Sau cum s au dat aceste verdicte? Cum s au calculat? Ca nu inyeleg calculul lor



