aradon.ro Web analytics

ARADON

ARADON

  • Home
  • Ştiri
    • Ştirile judeţului Arad
    • Evenimente
    • Comentariul zilei
    • Stiri internaţionale
    • Stiri naţionale
    • Retrospectiva săptămânii
    • Celebritati/Lifestyle
    • Download
  • Video
  • Sport
    • UTA
    • Sport local
    • Ştiri sportive
  • Party
  • Angajari
Select Page
ARADON
Local
Aradul, fără un mandat de deputat?

Aradul, fără un mandat de deputat?

De Alin Gherasim
la 21 March 2025 08:14
7 Comentarii

Aradul, fără un mandat de deputat?

Proiect: mai puțini arădeni în Parlament/Foto: FAN
21 March 2025 08:14
Un proiect de lege prevede scăderea mandatelor de parlamentari în unele județe și redistribuirea lor către Diaspora sau alte județe.
Scris de Alin Gherasim - Un proiect de lege prevede scăderea mandatelor de parlamentari în unele județe și redistribuirea lor către Diaspora sau alte județe.

Trimite articolul

X
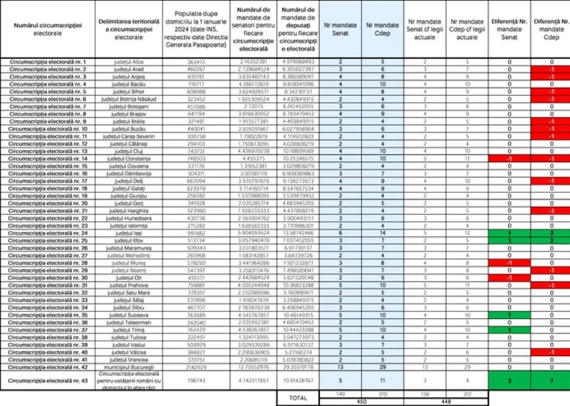
ARAD. O inițiativă legislativă propune scăderea numărului de parlamentari alocat către 15 județe din țară și redistribuirea acestor mandate către Diaspora și către alte județe ale României. Proiectul de lege a fost întocmit și depus de USR în Parlament.
„Românii din Diaspora, printre altele, contribuie anual cu miliarde de euro la economia țării și au dreptul la o reprezentare corectă în Parlament. Propunerea noastră aduce echitate și respectă principiul egalității votului”, a declarat deputatul USR de Diaspora Iulian Lorincz.
În prezent, circumscripția electorală nr. 43 – Diaspora are șase parlamentari, „un număr stabilit arbitrar și care nu reflectă realitatea milioanelor de români care trăiesc în afara țării”, se arată într-un comunicat de presă al USR. Potrivit acestui proiect de lege, Diaspora ar urma să primească zece mandate în plus.
Potrivit celor de la gandul.info, pentru a ilustra impactul propunerii, USR a realizat o simulare a actualei legislaturi, conform datelor statistice de la 1 ianuarie 2024. Rezultatele arată că anumitor circumscripții li s-ar aloca mandate suplimentare, după cum urmează: circumscripția 43 – Diaspora: 10 mandate în plus (trei senatori și șapte deputați); circumscripția nr. 24 – Iași: trei mandate în plus (un senator și doi deputați); circumscripția nr. 25 – Ilfov: trei mandate în plus (un senator și doi deputați); circumscripția nr. 35 – Suceava: un mandat de senator în plus; circumscripția nr. 37 – Timiș: un mandat de senator în plus.
În minus
În același timp, numărul de mandate ar scădea în alte circumscripții: Arad, Argeș, Bihor, Bistrița-Năsăud, Brăila, Buzău, Caraș-Severin, Constanța, Dolj, Harghita, Mureș, Neamț, Olt, Prahova și Vâlcea. În restul județelor, numărul de mandate ar urma să rămână la fel.
În ceea ce privește județul Arad, propunerea legislativă indică faptul că ar urma să scadă un mandat de deputat, de la șaptea mandate la șase, numărul senatorilor urmând să rămână același, respectiv trei.
Propunerea USR „introduce un criteriu obiectiv pentru calcularea mandatelor, raportat la datele oficiale furnizate de Direcția Generală de Pașapoarte. Astfel, reprezentarea în Parlament va fi proporțională cu numărul cetățenilor români care și-au stabilit domiciliul în străinătate”.
Totodată, potrivit gandul.info, inițiativa propune recalcularea mandatelor la fiecare ciclu electoral. Inițiatorii susțin că „în prezent, deși legea prevede stabilirea numărului de mandate pe baza datelor furnizate de Institutul Național de Statistică, în practică această actualizare nu are loc, ceea ce conduce la o reprezentare disproporționată a cetățenilor”.

Trimite articolul

X
Taguri:
Arad ,
diasporă ,
initiativa legislativa ,
judete ,
judetul arad ,
mandate de parlamentari ,
proiect de lege ,
scadere mandate de parlamentari ,
usr
7 Comentarii

Cancel reply

Your email address will not be published. Required fields are marked *

inca 1000 caractere ramase

Citiți principiile noastre de moderare aici!

  1. helmut says:
    March 21, 2025 at 8:53 am

    sa ii reduca pe toti, acestia nu reprezinta interesele aradenilor ci pe ale lui Falca cel care i-a trimis in Parlament!!

    Reply
  2. alin says:
    March 21, 2025 at 10:05 am

    gianina, glad varga , cadar razvan nu isi au locol in Parlament. sunt niste comedii de joasa speta ale politicii aradene . Ei lucreaza pentru Falca nu pentru aradenii cinstiti si corecti.
    DEMISIA!!

    Reply
  3. un nimeni says:
    March 21, 2025 at 11:08 am

    păi cum așa? doar ce ne-ați majorat impozitele, credeați că vor fi plătite instinctual de cetățeanul onest fără consecințe politice ?! votul este vot … eeei poveste !

    Reply
  4. Riveran says:
    March 21, 2025 at 11:34 am

    Mai corect ar fi să se respecte proporțiile de acum la numărul de voturi efectiv exprimate.

    Reply
  5. un nimeni says:
    March 21, 2025 at 3:01 pm

    nu-i așa că ne vedem trup și suflet la voturile din MAI .. CATEGORIC celor cu drept la vot!

    Reply
  6. Ioana says:
    March 21, 2025 at 9:33 pm

    Pistra sa vina acasă , că nu are nici un rost pe acolo !!!!

    Reply
  7. SANDU ROBERT BOGDAN says:
    March 22, 2025 at 8:33 am

    Și unu este mult. Oricum, votează după cum li se arată cu degetul.

    Reply
  8. Cele mai citite știri

    1
    1 Mai: Ziua Internațională a Muncii, de la defilări propagandiste la mici și grătare
    2
    Nicușor Dan: Dacă PNL sau PSD va veni cu un guvern minoritar susținut de AUR, nu aș fi de acord
    3
    Drona rusească a fost detonată. A fost oprită circulația pe DN 26, în apropiere de locul exploziei
    4
    Alec Blenche la Atrium Mall: unul dintre cei mai îndrăgiti autori de cărți pentru copii din România lansează printr-un spectacol inedit primele două volume din „Jurnalul unui fotbalist de buzunar”
    5
    Cernobîl: 40 de ani de la cel mai grav accident nuclear din istorie
    6
    Președintele Nicușor Dan anunță că a semnat demisiile miniștrilor PSD și propunerile de miniștri interimari
    7
    Directorul FBI: Trăgătorul care a provocat evacuarea lui Trump era înarmat cu o armă lungă
    8
    Experiență Erasmus de succes
    9
    „Suntem în proporție de 90% salvați”
    10
    Bolojan: Salarizarea unitară nu va duce la scăderea veniturilor. Unele câștiguri vor crește progresiv, pentru echitate

    Ştiri sportive

    Sorana Cîrstea şi Jaqueline Cristian, calificate în optimile probei de dublu la Roma (WTA)
    Perechea română Sorana Cîrstea/Jaqueline Cristian s-a calificat în optimile de finală ale probei de dublu din cadrul turneului de tenis WTA 1.000 de la Roma, dotat cu premii totale de 7.228.080 de euro, după 6-4, 6-4 cu italiencele Tyra Caterina Grant/Jennifer Ruggeri.

    Mapamond

    Iranul avertizează cu un „răspuns imediat” în cazul unei desfăşurări franceze şi britanice în Strâmtoarea Ormuz
    Ministrul adjunct de externe, Kazem Gharibabadi, a avertizat duminica aceasta cu un „răspuns decisiv şi imediat” al armatei în cazul unei desfăşurări de forţe franceze şi britanice în Strâmtoarea Ormuz, după anunţul făcut de Paris şi Londra privind trimiterea unor nave militare în regiune, relatează France Presse.

    Mapamond

    Trump spune că SUA au nevoie de încă „două săptămâni” pentru a elimina toate țintele iraniene
    SUA au nevoie doar de încă „două săptămâni suplimentar” pentru a-și atinge toate țintele în Iran, a asigurat președintele american Donald Trump într-un interviu înregistrat anterior săptămâna aceasta și difuzat duminică, relatează AFP.

    România

    Rezultatele extragerilor Loto
    Rezultatele extragerilor din data de 10-05-2026 sunt următoarele:

    Mapamond

    Kremlinul îi aşteaptă pe emisarii lui Trump şi insistă asupra retragerii forţelor ucrainene din Donbas
    Kremlinul se aşteaptă la reluarea rapidă a eforturilor de mediere ale SUA pentru încheierea războiului în Ucraina, după actualul armistiţiu de trei zile, a declarat duminică la televiziunea de stat Iuri Uşakov, consilierul preşedintelui rus Vladimir Putin responsabil cu negocierile, relatează dpa.

    România

    Bucureștiul va găzdui miercuri Summitul B9 și al Țărilor Nordice. Participă șeful NATO, oficiali din mai multe țări
    Președintele Nicușor Dan va găzdui, miercuri, la Palatul Cotroceni, Summitul Formatului București 9 (B9) și al Țărilor Nordice, la care vor fi prezenți secretarul general al NATO, Mark Rutte, președinți, miniștri.

    România

    VIDEO
    Ilie Bolojan, ovaționat în Cetatea Oradea după apariția alături de partenera sa, ieșind dintr-un restaurant
    Mai mulți participanți la evenimentul Majális, organizat de comunitatea maghiară în cadrul Festum Varadinum, l-au aplaudat vineri seară, 8 mai, pe Ilie Bolojan, în Cetatea Oradea. 8

    Local

    GALERIE FOTO
    GALERIE FOTO| Tripla semnificație a zilei de 10 Mai, sărbătorită în Piața Avram Iancu
    ARAD. Defilări militare, momente solemne și aplauze au marcat, duminică, în centrul Aradului, ceremonia organizată cu ocazia Zilei Victoriei în Europa, Zilei Uniunii Europene și Zilei Independenței Naționale a României. 2

    Mapamond

    Nava de croazieră MV Hondius pe care au apărut cazurile de hantavirus, a ajuns pe insula Tenerife pentru evacuarea pasagerilor
    Nava de croazieră MV Hondius, unde a fost detectat un focar de hantavirus, a ajuns duminică dimineața pe insula spaniolă Tenerife din Canare, înainte de evacuarea imediată a peste 100 de pasageri și membri ai echipajului, relatează AFP.
    • Aradon.ro
      • Redactia
      • Politica de confidentialitate
      • Folosinta Cookie-urilor
      • Termeni si conditii de utilizare
      • Regulament postare și moderare comentarii
    • Știri
      • Știrile județului Arad
      • Știri internaționale
      • Știri naționale
      • Celebrity/Lifestyle
    • Sport
      • UT Arad
      • Sport Local
      • Știri sportive

    Arad Online

    ISSN 3008-2331

    ISSN-L 3008-2331

    aradon.ro logoPentru noi, confidențialitatea Dvs. este importantă

    Noi și partenerii noștri utilizăm tehnologii, cum ar fi modulele cookie, și vă procesăm datele cu caracter personal, precum adresele IP și identificatorii cookie, pentru a personaliza anunțurile publicitare și conținutul în funcție de interesele dvs., pentru a măsura eficiența anunțurilor și a conținutului și pentru a obține informații despre publicul care a văzut anunțurile și conținutul. Faceți clic mai jos pentru a vă da consimțământul privind utilizarea acestei tehnologii și procesarea datelor dvs. cu caracter personal în aceste scopuri. Vă puteți răzgândi și puteți schimba opțiunile în orice moment, revenind la acest site.